Jahrgangstufe 9: StreetArt“ – ein Statement?! Planungshinweise zur Lernaufgabe: Eine eigene Auseinandersetzung mit „StreetArt“ – eine gestaltungspraktische Arbeit mit „StreetArt“-Charakter anfertigen.
zu den Inhaltsfeldern Bildgestaltung, Bildkonzepte und Gestaltungsfelder in Funktionszusammenhängen mit Impulsen zur Binnendifferenzierung / zum zieldifferenten Lernen
Zielsetzung
Die hier dargestellte komplexe Lernaufgabe besteht darin, sich mit „StreetArt“ auseinanderzusetzen. Über die Identifizierung von Gestaltungen als „StreetArt“, dem Annähern an „StreetArt“-Künstlerinnen und -Künstler und ihren Gestaltungen, dem eigenen Erproben von Materialien, Techniken und künstlerischen Strategien wird den Schülerinnen und Schüler ermöglicht, ein eigenes bildnerisches Statement mit „StreetArt“-Charakter zu gestalten und dieses in eine abschließende Präsentation zu bringen. Der individuelle Prozess der Auseinandersetzung wird begleitend in einer Mappe, die individuell differenziert den Schülerinnen und Schülern zur Verfügung gestellt wird, dokumentiert
Weiterlesen
Gestaltungen im öffentlichen Raum gehören zum Lebensumfeld der meisten Schülerinnen und Schüler. Die Ikonografie von Graffitis und Tags spricht viele Jugendliche an und es kann davon ausgegangen werden, dass die oder der ein oder andere sich bereits im öffentlichen Raum gestalterisch ausprobiert hat. Neben einer Klärung, wie der öffentliche Raum zu definieren ist, ist es notwendig, „StreetArt“ in Abgrenzung zu anderen Gestaltungen im öffentlichen Raum zu klären, damit ein gemeinsamer Austausch darüber und entsprechende gestaltungspraktische Arbeiten angefertigt werden können. Folgende Definition liegt den Planungen dieser Lernaufgabe zugrunde: „StreetArt“…
• vermittelt eine Botschaft z.B. zu politischen und/oder sozialen Themen
• benötigt den öffentlichen Raum: Mauern, Plätze, Straßen, Gegenstände …,
• der öffentliche Raum ist bewusst gewählt, da er das Statement unterstreicht bzw. Teil des Statements ist,
• nutzt vielfältige Techniken und Gestaltungsmittel,
• kann legal oder illegal sein.
Fundierte Informationen zum Thema „StreetArt“ bietet das online verfügbare Graffiti-Wiki: https://www.graffiti-wiki.com/streetart/ [27.07.2021]
Da davon auszugehen ist, dass das Thema „StreetArt“ einen hohen Aufforderungscharakter besitzt, muss die Legalität bzw. Illegalität solcher Eingriffe in den öffentlichen Raum thematisiert werden. Der Sachverhalt der Sachbeschädigung durch illegale „StreetArt“ gemäß Strafgesetzbuch §304 müsste den Schülerinnen und Schülern deutlich werden (http://www.gesetze-im-internet.de/stgb/ ).
Auf der Grundlage der Definition von „StreetArt“ und der Gesetzeslage wird klar, dass die Schülerinnen und Schüler keine eigene „StreetArt“ gestalten können, da illegale Eingriffe in den öffentlichen Raum juristisch geahndet werden. Die Schülerinnen und Schüler gestalten im definierten Raum der Schule eine gestaltungspraktische Arbeit mit „StreetArt-Charakter“.
Das heißt, sie berücksichtigen die Merkmale von „StreetArt“, indem sie ein Statement zum Ausdruck bringen, sind jedoch bei der Wahl des Ortes begrenzt. Die Präsentation soll anschließend u.a. dazu genutzt werden, die gestaltungspraktische Arbeit im Sinne von „StreetArt“ zu verorten. Insbesondere für Lernende kann das Herausarbeiten eines Statements eine große Hürde darstellen. Im Sinne der Auseinandersetzung mit „StreetArt“ könnte für eine Präsentation zu einer selbst ausgewählten „StreetArt-Künstlerin“ oder einem Künstler, einer „StreetArt-Gestaltung“ möglich sein. Auch die eigene Mappe oder Auszüge aus dieser könnten mögliche Beiträge für die Präsentation sein. Das Anlegen einer Dokumentation in Form der Mappe zur Auseinandersetzung mit „StreetArt“ bietet Entwicklungschancen zur Kompetenzentwicklung im metakognitiven Bereich (u.a. Planung und Dokumentation von Arbeitsprozessen, Erfassen und Einhalten von Ordnungsstrukturen). Sprühlacken und anderen Farben, die für einen Einsatz im Außenbereich vorgesehen sind und die Notwendigkeit von Schutzkleidung beim Umgang mit diesen Materialien sind ebenfalls zentral während dieser Lernaufgabe zu thematisieren.Zur Vorbereitung und Orientierung für die Lehrkraft steht die RISU-NRW zur Verfügung
Die folgende Planung einer komplexen Lernaufgabe ist als Gerüst zu verstehen ist, die an die jeweilige spezielle Lerngruppe und deren Vorwissen und Lernstand angepasst werden muss. Durch die Bearbeitung des Aufgabenspektrums, welches die Lernaufgabe in unterschiedlicher Komplexität und Anschaulichkeit eröffnet, sollen alle Schülerinnen und Schüler am Ende des Unterrichtsvorhabens auf differenzierte Art und Weise in einer Präsentation ihre Auseinandersetzung mit „StreetArt“ zeigen. Die Grundlage dazu bietet das eigene Erstellen einer gestaltungspraktischen Arbeit mit StreetArt-Charakter. Präsentationen zu „StreetArt-Künstlerinnen“ / Künstlern, „StreetArt-Gestaltungen“ oder ausgewählten Beispielseiten der eigenen Dokumentationsmappe sind Möglichkeiten der Differenzierung für Schülerinnen und Schüler in zieldifferenten Bildungsgängen.
Abbildung der Lernaufgabe

Diese Planung muss jeweils an die spezifische Lerngruppe, mit Blick auf deren Vorwissen und Lernstand, angepasst werden. Dies gilt insbesondere für Schülerinnen und Schüler in zieldifferenten Bildungsgängen in individualisierter Anbindung an ihre jeweilige Lern- und Entwicklungsplanung. Die hier im Rahmen von exemplarischen Aufgaben bzw. Übungen angesteuerten Kompetenzen werden benötigt, um die Lernaufgabe insgesamt bewältigen zu können: eine gestaltungspraktische Arbeit mit „StreetArt“-Charakter anzufertigen und diese in eine abschließende Präsentation zu bringen. Die Lernaufgabe ist für den neunten Jahrgang der Sekundarstufe I angelegt und orientiert sich am Kernlehrplan der Gesamtschule (Kompetenzerwartungen der Jahrgänge 7-10). Daneben werden im Hinblick auf die Ermöglichung zieldifferenten Lernens Kompetenzerwartungen des Kernlehrplans „Kunst“ für die Hauptschule (bitte ein i einfügen: Der Lehrplan für die Hauptschule wird hier als Referenzdokument eingefügt, da gemäß der Ausbildungsordnung Sonderpädagogische Förderung (AO-SF) der § 32.2 zur Leistungsbewertung im zieldifferenten Bildungsgang Lernen zu beachten ist: (2) Die Schulkonferenz kann beschließen, dass ab Klasse 4 oder ab einer höheren Klasse die Bewertung einzelner Leistungen von Schülerinnen und Schülern zusätzlich mit Noten möglich ist. Dies setzt voraus, dass die Leistung den Anforderungen der jeweils vorhergehenden Jahrgangsstufe der Grundschule oder der Hauptschule entspricht. Dieser Maßstab ist kenntlich zu machen.) angesteuert. Das Kompetenzspektrum erweiternd, werden an geeigneten Stellen auch Kompetenzerwartungen des Kernlehrplans für das Gymnasium zur weiteren Differenzierung berücksichtigt. Für die Schülerinnen und Schüler sind die in der individuellen Lern- und Entwicklungsplanung festgelegten Kompetenzerwartungen maßgeblich. „Hinweise zu den Kompetenzerwartungen in den zieldifferenten Bildungsgängen.“ Durch die Verknüpfung von möglichen anzusteuernden Kompetenzen sowohl im Fach Kunst als auch in den basalen Entwicklungsbereichen eröffnen sich Entwicklungschancen, die für Lernende entsprechend ihres Lern- und Entwicklungsplanes genutzt werden können. Eine auf das Individuum bezogene Planung kann hierdurch eher fachliche oder entwicklungsbezogene Zugänge für den Unterricht definieren.
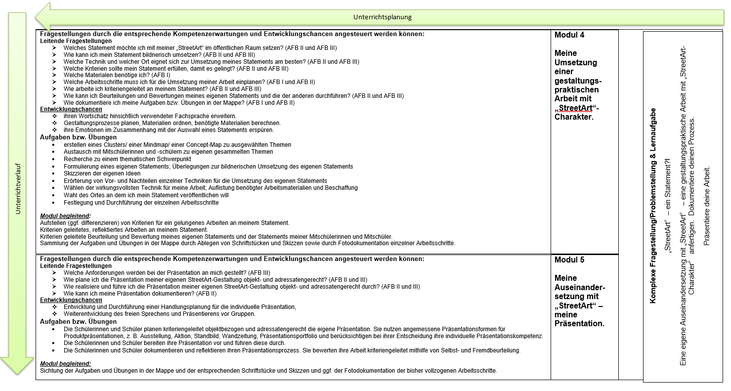
Die gesamte Lernaufgabe gliedert sich in fünf Module
Die Lernaufgabe „Eine eigene Auseinandersetzung mit „StreetArt“ – eine gestaltungspraktische Arbeit mit „StreetArt-Charakter“ anfertigen“ – gliedert sich in die folgenden fünf Module:
1) Was macht Gestaltungen zu „StreetArt“? – Ausgehend von einem Werkbeispiel „StreetArt“-Gestaltungen untersuchen und definieren.
2) Sich Gestaltungen von „StreetArt“-Künstlerinnen und -Künstlern annähern, sie beschreiben, analysieren und deuten.
3) Materialien, Techniken und künstlerische Strategien erproben.
4) Meine Umsetzung einer gestaltungspraktischen Arbeit mit „StreetArt“-Charakter.
5) Meine Auseinandersetzung mit „StreetArt“ – meine Präsentation.
Die gesamte Lernaufgabe erfordert kooperative und individuelle Planungs- und Reflexionsprozesse. Gegenseitig Beratung und Unterstützung ist grundlegend vorgesehen. Dadurch soll auch Schülerinnen und Schülern, die ein höheres Maß an Unterstützung für ihren eigenen Lernprozess benötigen, eine erfolgreiche Bewältigung ermöglicht werden.
Zur Gliederung der Materialien
Ausführliche Darstellungen der einzelnen Module finden sich in jeweils einzelnen Dokumenten. Dort werden alle Übungen bzw. Aufgaben dargestellt und entsprechend der Differenzierungsmöglichkeiten erläutert.
Die Darstellung der Übungen bzw. Aufgaben erfolgt in Form einer zweispaltigen Tabelle:
a. Kurzdarstellung der Übung bzw. Aufgabe
b. Impulse zur Binnendifferenzierung/zum zieldifferenten Lernen.
Hier stehen exemplarische Arbeitsmaterialien mit Impulsen zur Binnendifferenzierung/zum zieldifferenten Lernen oder zu möglichen Entwicklungschancen zur Eröffnung eines weiteren Lernfeldes direkt zum Download zur Verfügung.
Begleitende Mappe – Impulse zur Binnendifferenzierung/zum zieldifferenten Lernen
Unter Berücksichtigung von Gestaltungskriterien des Universal Design for Learning kann die begleitende Mappe für eine heterogene Gruppe von Lernenden gestaltet werden.
Dazu zählen u.a.:
• die Wahl einer serifenarmen Schrift, wie z.B. Arial in der Schriftgröße 12 (das entspricht auch den Kriterien Leichter Sprache )
• Seitenzahlen zur Unterstützung von Orientierung
• Verbindung von Arbeitshinweisen mit illustrierenden Icons und das Einbinden des Titelbildes der Mappe in einem kleineren Format als wiederkehrenden Erinnerungsanker unterstützen einen selbstständigen Arbeitsprozess
• eine Rahmung der Textblöcke bietet eine äußere Orientierungsstruktur zum Lesen. Weitere individuell auszuwählende Differenzierungen ermöglichen weiteren Schülerinnen und Schülern eine möglichst selbstständige Nutzung der Mappe und damit eine Absicherung des individuellen Lernerfolgs. Dazu zählen u.a.:
• Berücksichtigung von individuell passenden Kriterien Leichter Sprache wie z.B. kurze informative Sätze, die nur eine Aussage enthalten, Zeilenumbruch am Ende des Satzes (siehe Titelseite der Mappe)
• orientierende Hinweise für den Erarbeitungsprozess zu jedem Modul gleichbleibend; Verwendung von Abbildungen aus dem im Unterricht; vereinfachte Arbeitshinweise (hier u.a. Formulierungshilfen zur Bildbetrachtung)
• Reflexionsanregungen zu jedem Modul, die wichtige Impulse für die abschließende Präsentation in gleichbleibender Form sammeln (u.a. „Ich habe gelernt“; „Ich finde spannend“)
• direktes Einbinden von Arbeitsblättern bietet eine Ordnungsstruktur, die die Planung der abschließenden Präsentation erleichtert
• um das Verständnis des fachlichen Arbeitsauftrages zu unterstützen, können (einzelne) Texte mit Hilfe eines digitalen Vorlesestiftes ---bitte Link setzen auf: Schulentwicklung NRW - Inklusiver Fachunterricht - Lernumgebungen gestalten - Lernförderung---- codiert bzw. decodiert werden.

Kontakt